
Hoy en el blog de APECED te traemos un tema que creemos muy interesante para dar un paso más en tu conocimiento sobre las Ultimas tendencias en el entrenamiento de fuerza.
Tradicionalmente, la medición del nivel de fuerza máxima de una persona en un determinado ejercicio o patrón de movimiento se hacía mediante un test de 1RM (consistente en realizar ese ejercicio con un peso cada vez mayor hasta alcanzar un límite de peso en el cual el deportista solamente puede hacer una repetición).
LIMITACIONES DEL 1RM
Partiendo de la base de que el test 1RM solamente mide un tipo de fuerza máxima dejando el resto de las manifestaciones fuera del análisis, es importante remarcar ciertas limitaciones que tiene este protocolo, respecto del tema que nos ocupa: “Ultimas tendencias en el entrenamiento de fuerza”:
- El largo tiempo que demora la realización de este test. Entre el calentamiento general, las series de aproximación previas y las series efectivas hasta llegar al 1RM (con sus descansos correspondientes), se puede llegar fácilmente a 15 minutos para la realización para un ejercicio determinado. Si necesitáramos hacer más de un test de 1 RM ese día, el tiempo de la sesión se vería limitado por estos test.
- El valor del 1RM puede variar prácticamente cada día. Las personas novatas en el mundo del entrenamiento son muy sensibles a los entrenamientos de fuerza y producen adaptaciones rápidamente, moviendo el 1RM en cuestión de días. Por otro lado, dormir mal, estrés por el trabajo o problemas personales pueden minar la capacidad de entrenar y de producir fuerza, variando también el 1RM casi también de manera diaria o semanal
- El test podría no ser de carácter maximal en función de las características del deportista. Muchas veces, el desconocimiento del test y el miedo a esfuerzos máximos no permite el máximo rendimiento del deportista en este test, infravalorándose la fuerza del deportista, ya que presumiblemente no llega a ese valor máximo.
Además de las limitaciones mostradas en los puntos anteriores, también es importante remarcar que un test 1RM lleva al individuo a realizar esfuerzos máximos exponiendo a sus articulaciones, tendones y ligamentos a esfuerzos máximos que acercan al sujeto a lesiones graves.
CLAVE PARA EVALUAR TU FUERZA: LA VELOCIDAD DE LEVANTAMIENTO
Actualmente, muchos son los estudios científicos que han demostrado la relación entre la carga levantada y la velocidad máxima a la que podemos moverla. En un determinado ejercicio, cargas muy altas, cercanas al 1RM, serán levantadas a velocidades bajas. Cargas bajas serán levantadas a altas velocidades.
Si a cada uno de nosotros se nos midiera la máxima velocidad a la que podemos mover un peso en un determinado movimiento tendríamos una tabla formada por pares de datos: por un lado, el peso levantado y por otro la velocidad a la que se levantó. En cuanto a la aplicación que ello tiene respecto de las tendencias en el entrenamiento de fuerza, si tomáramos las tablas de cada uno de nosotros y la juntáramos en una sola tabla, tendríamos una tabla general que arrojaría para cada % del 1RM, la velocidad de levantamiento esperada. Por ejemplo, se ha hecho este ejercicio para el press de banca, y se ha determinado que en líneas generales cuando un deportista levanta en este ejercicio un 1RM, se realizará a una velocidad media de 15 cm/s. Por ejemplo, en el caso de las sentadillas la fase concéntrica del 1RM se realiza a 31cm/s en datos de Balsalobre y Jiménez Reyes. A continuación, el cuadro resumen de los estudios:

FORMULA
Gracias a esta tabla, podemos estimar el 1RM a partir de la velocidad de levantamiento de un determinado peso, lo que es fundamental para analizar las nuevas y ultimas tendencias en el entrenamiento de fuerza. Por ejemplo, un día cualquiera en el gimnasio, tras el calentamiento general y el específico en press de banca, realizo un levantamiento de 50kg a 0,53 m/s (teniendo en cuenta que esa velocidad es la máxima a la que puedo mover ese peso). Mirando la tabla propuesta por Balsalobre y Jiménez Reyes, observamos que esa velocidad corresponde a un 75% del 1RM. Por tanto, el 1RM del día es de 66,7 Kg (Peso 1RM x 0,75 = 50Kg; Peso 1RM = 50/0,75 = 66,7 Kg).
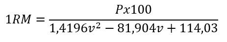
Sánchez-Medina en el año 2010, diseñó una fórmula que nos acercaba al cálculo del 1RM a través de la velocidad de levantamiento:

Sánchez-Medina en el año 2010, diseñó una fórmula que nos acercaba al cálculo del 1RM a través de la velocidad de levantamiento:
EVALUA TU 1RM de MANERA INMEDIATA
Por otro lado, una segunda aplicabilidad viene de la posibilidad de analizar qué porcentaje de esfuerzo hacemos sobre el máximo al levantar un peso. Si por ejemplo, siguiendo la tabla anterior, tengo un 1RM de 100kg en press de banca, cuando muevo un peso del 70% del 1RM, según esa tabla podré mover ese peso a una velocidad máxima de 0,61m/s. Si yo me encuentro que mi deportista lo mueve a 0,45m/s, quiere decir que pudiendo ejercer una máxima fuerza para mover ese peso a 0,61, realmente le aplica menos fuerza para mover el mismo peso más despacio, a 0,45m/s. Estaré en disposición de exigir a mi deportista que levante más rápidamente ese peso buscando su límite de velocidad, para superarlo.
UNA APP PARA EVALUAR LA VELOCIDAD Y CALIDAD DE TU LEVANTAMIENTO
Después de este análisis, la siguiente pregunta lógica sería… ¿Cómo se yo la velocidad a la que hago mis levantamientos? Para darte respuesta te traemos una aplicación gratuita para móvil que se llama “BarSense”.
Esta aplicación nos va a ayudar a:
-
- Evaluar la calidad del movimiento mediante un análisis de la trayectoria del peso levantado (representada esta última por una línea roja), se puede analizar la calidad técnica de cada una de las repeticiones.

- Calcular las principales magnitudes de cada levantamiento.
-
- o Cálculo del 1RM, a través de la fórmula antes expresada
-
- o Velocidad máxima alcanzada por el peso a lo largo de toda la serie. Es una velocidad instantánea
-
- o Velocidad media del levantamiento a lo largo de toda la serie.
A continuación, te dejamos un sencillo tutorial de cómo usar la aplicación.

Este tipo de aplicaciones pioneras (hay otras también como My Lift) empiezan a analizar de manera rápida y sencilla las velocidades de levantamiento
Como conclusión general decirte que este tipo de análisis es el presente y sobre todo el futuro en el ultimas tendencias en el entrenamiento de fuerza que encontramos en el sector. Aplicaciones de este tipo (BarSense, My Lift o cualquier otra similar), podremos determinar de manera rápida, segura y fiable el 1RM del día para un determinado movimiento, la calidad del movimiento y lo lejos que está el deportista de levantar un peso a su máxima velocidad, bien conscientemente o por déficit de fuerza.
(Bibliografía) Ultimas tendencias en el entrenamiento de fuerza
Balsalobre-Fernández, C., Jiménez-Reyes, P. (2014). Entrenamiento de Fuerza: Nuevas Perspectivas Metodológicas. Madrid. Editorial Carlos Balsalobre-Fernández.
González-Badillo, J. J. y Gorostiaga, E. (1995). Fundamentos del entrenamiento de la fuerza. Aplicación al alto rendimiento. Barcelona. Ed. Inde.
González-Badillo, J. J. y Rivas, J. (2002). Bases de la programación del entrenamiento de la fuerza. Barcelona: Ed. Inde.
González Badillo, J. J. (2011). Aplicaciones del control de la velocidad en la programación del entrenamiento de la fuerza. En Jornadas Internacionales «Entrenamiento de la fuerza». Málaga: Instituto Andaluz del Deporte.
Heredia, J. R. y Peña, J. (2016). Bases teórico-prácticas del entrenamiento para la salud. Murcia: IICEFS.
Jiménez Reyes, P. y González Badillo, J. J. (2011). Control de la carga de entrenamiento a través del CMJ en pruebas de velocidad y saltos para optimizar el rendimiento deportivo en atletismo. Cultura, Ciencia y Deporte, 6(18).
Naclerio, F. (2011). Entrenamiento deportivo. Fundamentos y aplicaciones en diferentes deportes. Madrid: Editorial Médica Panamericana.






Yo siempre he entrenado la fuerza con su submáximas, cerca del 1RM, al 85-95% de intensidad, y es así como me ha ido mejor para ganar fuerza. Eso sí, con algunos dolores porque no planifiqué muy bien los entrenamientos, todavía no tenía mucha experiencia. Mi método favorito es la rutina 5-3-1. Muy buen artículo!